Finding the appropriate legal document format can be quite challenging.
Of course, there are numerous templates available online, but how do you identify the legal form you need.
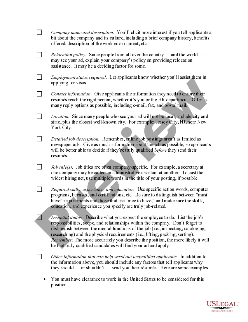
Utilize the US Legal Forms website. This service offers a vast array of templates, such as the Tennessee Checklist for Creating Online Job Advertisements, suitable for business and personal needs.
If the form does not satisfy your needs, use the Search area to find the correct form. When you're certain that the form is accurate, click the Acquire now button to obtain the form. Choose the pricing plan you prefer and provide the required information. Create your account and complete your order using your PayPal account or credit card. Select the file format and download the legal document format to your device. Finally, complete, modify, print, and sign the obtained Tennessee Checklist for Creating Online Job Advertisements. US Legal Forms represents the largest collection of legal forms from which you can find various document templates. Leverage the service to download professionally crafted documents that meet state requirements.
Applying for jobs online requires a strategic approach. Start by researching companies that align with your career goals, and then tailor your resume and cover letter to match the job requirements. Utilize the Tennessee Checklist for Writing Online Job Advertisements to ensure your application stands out. Additionally, networking through professional platforms can enhance your visibility and connect you with potential employers.


