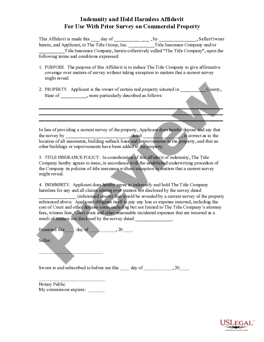
An Indemnity and Hold Harmless Affidavit for Use with Prior Survey on Commercial Property is a legal document that protects the owner of a commercial property from liability for any injuries or damages that may occur as a result of a survey conducted on the property. It also releases the surveyor and other parties involved in the survey from any liabilities that may arise from the survey. This type of document is used when a prior survey of the property has been conducted, and it is necessary to obtain additional information. There are two main types of Indemnity and Hold Harmless Affidavit for Use with Prior Survey on Commercial Property: an Indemnity Agreement and a Hold Harmless Agreement. An Indemnity Agreement states that the party signing the agreement will not hold the surveyor or any other party involved in the survey liable for any losses or damages resulting from the survey. A Hold Harmless Agreement states that the party signing the agreement will indemnify the surveyor and other parties involved in the survey from any claims, damages, or losses that may arise from the survey. Both types of agreements protect the owner of the commercial property from liability and provide legal protection for the surveyor and any other parties involved in the survey.




